Home › Unlabelled ›
Pathophysiology Of Community Acquired Pneumonia Schematic Diagram : PPT - Pneumonia Pathophysiology PowerPoint Presentation ... - Validated prediction scores for pneumonia severity can guide the decision between outpatient and inpatient therapy.
Pathophysiology Of Community Acquired Pneumonia Schematic Diagram : PPT - Pneumonia Pathophysiology PowerPoint Presentation ... - Validated prediction scores for pneumonia severity can guide the decision between outpatient and inpatient therapy.. The most commonly identified pathogens are. It may be caused by: It occurs when bacteria enter the alveolar spaces of the lung initiating an inflammatory response which leads to the clinical features of cough, sputum production. Pneumonia that is acquired outside of a healthcare establishment. Cap is an acute infection of the pulmonary parenchyma with symptom onset in the community.
The pathophysiology of pneumococcal pneumonia. Cap is an acute infection of the pulmonary parenchyma with symptom onset in the community. When the infection is acquired outside a hospital, due to contact with an infected individual, one is diagnosed. Pathophysiology of community acquired pneumonia. It occurs when bacteria enter the alveolar spaces of the lung initiating an inflammatory response which leads to the clinical features of cough, sputum production.
Community-Acquired Pneumonia Pathophysiology | Respiratory ... from imgv2-1-f.scribdassets.com Your doctor will start with questions about your symptoms and your medical history, like whether you smoke and whether you've been around sick people at home, school. Abnormal chest radiograph congestive heart failure with associated viral syndrome. The pathophysiology of pneumococcal pneumonia. Home pathophysiology pneumonia pathophysiology & schematic diagram. Pneumonia is a breathing (respiratory) condition in which there is an infection of the lung. The most common bacterial cause of cap is streptococcus pneumoniae which will be the focus of this tutorial. Pathophysiology of community acquired pneumonia. The most commonly identified pathogens are.
This is the most common form of pneumonia and describes pneumonia that is acquired outside of a hospital the main causes of cap are bacteria, viruses and less commonly fungi.
Cap is an acute infection of the pulmonary parenchyma with symptom onset in the community. Pneumonia is a breathing (respiratory) condition in which there is an infection of the lung. When the infection is acquired outside a hospital, due to contact with an infected individual, one is diagnosed. It may be caused by: Community acquired pneumonia (cap) can be diagnosed clinically when there are signs of a lower respiratory tract infection and wheezing syndromes have been ruled out. Patients who have been hospitalized for other reasons for less than 48 hours before the development of respiratory symptoms are also considered to have. Pathophysiology of community acquired pneumonia. The most common bacterial cause of cap is streptococcus pneumoniae which will be the focus of this tutorial. Using procalcitonin as a biomarker for severe infection may. It occurs when bacteria enter the alveolar spaces of the lung initiating an inflammatory response which leads to the clinical features of cough, sputum production. Community acquired pneumonia (cap) is a leading infectious cause of morbidity and mortality hospital, battipaglia, salerno, italy; Exposure to chemical and bacterial agents. The pathophysiology of pneumococcal pneumonia.
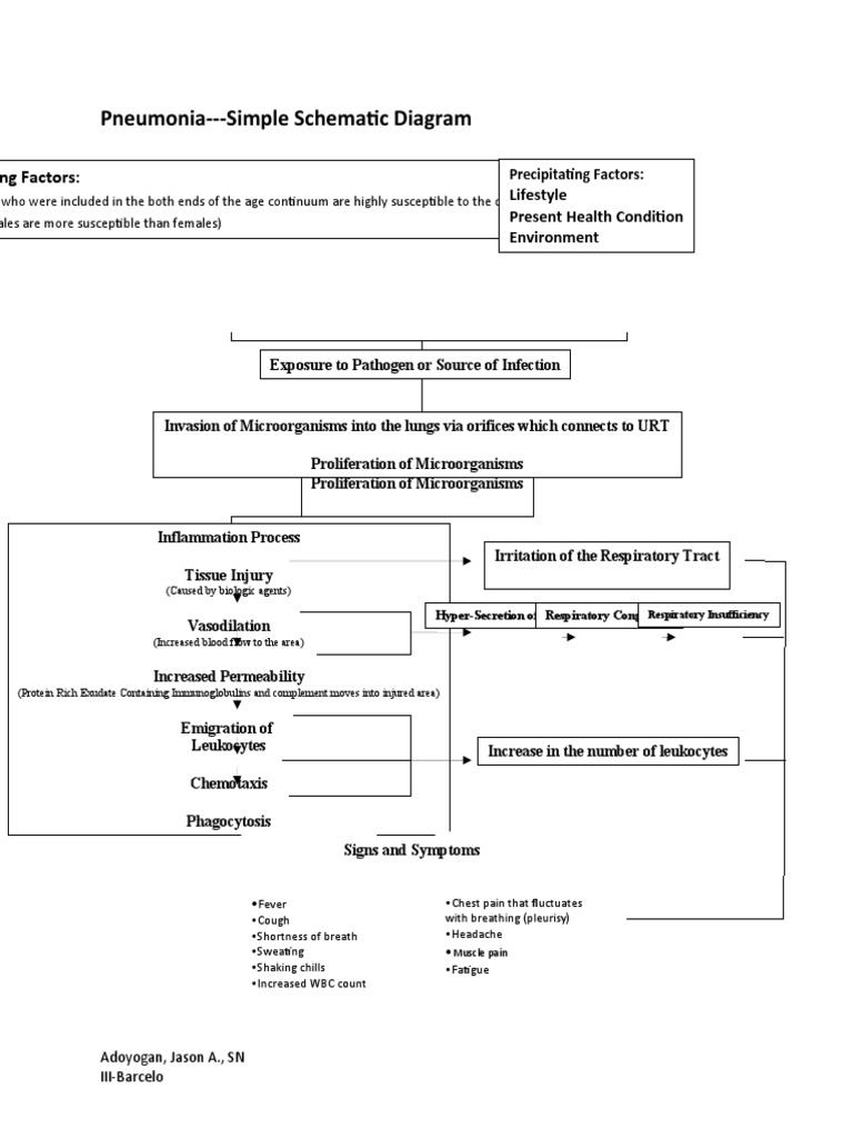
Pneumonia is a breathing (respiratory) condition in which there is an infection of the lung. Airborne droplets organisms (bacterial, viral) streptococcus pneumonia that contracted by breathing invasion of infection to enters nasal passage. This type of pneumonia is found in people who have not recently been in the hospital or another health care facility such as a nursing home or rehab facility. Pathophysiology and host factors with focus on possible new approaches to management of lower respiratory tract infections. Home pathophysiology pneumonia pathophysiology & schematic diagram.
Pneumonia Pathophysiology & Schematic Diagram from www.rnspeak.com Pneumonia is a breathing (respiratory) condition in which there is an infection of the lung. The most common type of infectious agents is bacteria such as streptococcus. Pathophysiology of community acquired pneumonia. Community acquired pneumonia (cap) is an acute infection of lung tissue that develops outside of the hospital setting. The most common bacterial cause of cap is streptococcus pneumoniae which will be the focus of this tutorial. Community acquired pneumonia (cap) can be diagnosed clinically when there are signs of a lower respiratory tract infection and wheezing syndromes have been ruled out. Cap (community acquired pneumonia) hap (hospital acquired pneumonia) vap (ventilator associated pneumonia). The most commonly identified pathogens are.
Risk factors include older age and medical comorbidities.
Pathophysiology host defences trigger inflammatory response which lead to clinical syndrome of pneumonia inflammatory mediators from macrophages. It occurs outside of hospitals or other health care facilities. Pneumonia is a breathing (respiratory) condition in which there is an infection of the lung. Pathophysiology and host factors with focus on possible new approaches to management of lower respiratory tract infections. The most common type of infectious agents is bacteria such as streptococcus. Risk factors include older age and medical comorbidities. Pathophysiology pathophysiology of community acquired pneumonia precipitating factor 1. Pathophysiology of community acquired pneumonia. Community acquired pneumonia (cap) is an acute infection of lung tissue that develops outside of the hospital setting. Schematic diagram and concept map of image source inhalation pneumonia or aspiration. Using procalcitonin as a biomarker for severe infection may. This is the most common form of pneumonia and describes pneumonia that is acquired outside of a hospital the main causes of cap are bacteria, viruses and less commonly fungi. The most commonly identified pathogens are.
Risk factors include older age and medical comorbidities. Roles of imaging examinations, imaging diagnosis of specific pathogens and discrimination from noninfectious diseases. The most common type of infectious agents is bacteria such as streptococcus. Pneumonia that is acquired outside of a healthcare establishment. Validated prediction scores for pneumonia severity can guide the decision between outpatient and inpatient therapy.
community acquired pneumonia - UK Health Insurance from www.saxquax.co.uk Validated prediction scores for pneumonia severity can guide the decision between outpatient and inpatient therapy. Using procalcitonin as a biomarker for severe infection may. It may be caused by: When the infection is acquired outside a hospital, due to contact with an infected individual, one is diagnosed. Risk factors include older age and medical comorbidities. Community acquired pneumonia (cap) is an acute infection of lung tissue that develops outside of the hospital setting. This is the most common form of pneumonia and describes pneumonia that is acquired outside of a hospital the main causes of cap are bacteria, viruses and less commonly fungi. Exposure to chemical and bacterial agents.
Risk factors include older age and medical comorbidities.
Pathophysiology of community acquired pneumonia. Schematic diagram and concept map of image source inhalation pneumonia or aspiration. Pathophysiology host defences trigger inflammatory response which lead to clinical syndrome of pneumonia inflammatory mediators from macrophages. Community acquired pneumonia (cap) can be diagnosed clinically when there are signs of a lower respiratory tract infection and wheezing syndromes have been ruled out. Risk factors include older age and medical comorbidities. 16 183 просмотра 16 тыс. The most common bacterial cause of cap is streptococcus pneumoniae which will be the focus of this tutorial. This type of pneumonia is found in people who have not recently been in the hospital or another health care facility such as a nursing home or rehab facility. The most common cause of bacterial pneumonia in the u.s. Validated prediction scores for pneumonia severity can guide the decision between outpatient and inpatient therapy. Community acquired pneumonia (cap) is a leading infectious cause of morbidity and mortality hospital, battipaglia, salerno, italy; Using procalcitonin as a biomarker for severe infection may. Airborne droplets organisms (bacterial, viral) streptococcus pneumonia that contracted by breathing invasion of infection to enters nasal passage.